https://www.acmicpc.net/problem/11724
11724번: 연결 요소의 개수
첫째 줄에 정점의 개수 N과 간선의 개수 M이 주어진다. (1 ≤ N ≤ 1,000, 0 ≤ M ≤ N×(N-1)/2) 둘째 줄부터 M개의 줄에 간선의 양 끝점 u와 v가 주어진다. (1 ≤ u, v ≤ N, u ≠ v) 같은 간선은 한 번만 주
www.acmicpc.net
문제
방향 없는 그래프가 주어졌을 때, 연결 요소 (Connected Component)의 개수를 구하는 프로그램을 작성하시오.
입력
첫째 줄에 정점의 개수 N과 간선의 개수 M이 주어진다. (1 ≤ N ≤ 1,000, 0 ≤ M ≤ N×(N-1)/2) 둘째 줄부터 M개의 줄에 간선의 양 끝점 u와 v가 주어진다. (1 ≤ u, v ≤ N, u ≠ v) 같은 간선은 한 번만 주어진다.
출력
첫째 줄에 연결 요소의 개수를 출력한다.
예제 입력 1 복사
6 5
1 2
2 5
5 1
3 4
4 6
예제 출력 1 복사
2
예제 입력 2 복사
6 8
1 2
2 5
5 1
3 4
4 6
5 4
2 4
2 3
예제 출력 2 복사
1
풀이
- 무방향 그래프(Undirected Graph)란 두 정점 사이에 방향이 없는 그래프를 뜻한다. 모든 정점이 연결되어 하나로 이루어질 수도 있고, 여러 개의 부분 그래프로 구성되어 있을 수도 있다.
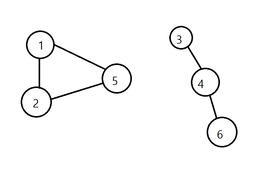
- 연결 요소(Connected Component)란 무방향 그래프에서 나누어진 각각의 그래프를 뜻한다. 아래 그림의 경우, 2개의 연결 요소로 이루어져 있다고 볼 수 있다.

문제 예제 1번 그래프 모습
- 벡터를 이용한 인접리스트를 구현하여 문제를 해결하였다.
- 방문하지 않은 정점에 대해 Dfs를 실행하였고, 해당 정점과 이어진 모든 정점을 탐색할 수 있도록 Dfs를 사용하였다.
- 한 그래프에 대한 탐색이 종료되면 연결 요소의 개수(cnt)를 증가시킨다.
코드
#include <iostream>
#include <vector>
using namespace std;
#define MAX 1001
vector<int> vec[MAX];
bool visited[MAX];
int vertex, edge, from, to, cnt;
void Dfs(int v)
{
visited[v] = true;
for (int i = 0; i < vec[v].size(); i++)
{
int next = vec[v][i];
if (!visited[next])
Dfs(next);
}
}
int main()
{
ios::sync_with_stdio(false);
cin.tie(0); cout.tie(0);
cin >> vertex >> edge;
for (int i = 1; i <= edge; i++)
{
cin >> from >> to;
vec[from].push_back(to);
vec[to].push_back(from);
}
for (int i = 1; i <= vertex; i++)
{
if (!visited[i])
{
Dfs(i);
cnt++;
}
}
cout << cnt;
return 0;
}'Programming > C++' 카테고리의 다른 글
| [C++] 백준 1697 - 숨바꼭질 (0) | 2024.12.11 |
|---|---|
| [C++] 백준 7562 - 나이트의 이동 (0) | 2024.12.11 |
| [C++] 백준 2644 - 촌수계산 (0) | 2024.12.11 |
| [C++] 백준 2178 - 미로 탐색 (0) | 2024.12.11 |
| [C++] 백준 2606 - 바이러스 (0) | 2024.12.11 |